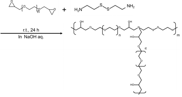
名稱:PEGDE-CA
組成:PEGDE CA
粒徑:微米級網狀結構
應用:抗腫瘤
儲存條件:-4℃
其他說明:密封狀態下保質期半年【主要優勢】水凝膠顯示出較低臨界溶液溫度型熱響應行為和pH響應溶脹變化。在還原條件下,水凝膠在二硫蘇糖醇或谷胱甘肽存在下通過硫醇交換反應降解。
題目:
Facile preparation of multi-stimuli-responsive degradable hydrogels for protein loading and release文章鏈接:
https://pubmed.ncbi.nlm.nih.gov/33434598/
留言咨詢
|
|
 |
| 生物納米材料前沿 |
 |
| 納米醫學Frontier |
|
溫馨提示:蘇州北科納米供應產品僅用于科研,不能用于人體,不同批次產品規格性能有差異。網站部分文獻案例圖片源自互聯網,圖片僅供參考,請以實物為主,如有侵權請聯系我們立即刪除。
提示說明:納米材料工藝和制備可能會有改變 所有納米材料均支持按需定制 下單前聯系客服確認產品詳細信息。 |